Skip to comments.
This should make you very angry................
Twitter / X / ^
| February 05, 2025
| Sarah Fields
Posted on 02/06/2025 1:12:34 PM PST by Red Badger

2:32 PM · Feb 5, 2025 11.4M Views
TOPICS: Government; Military/Veterans; Politics; Society
KEYWORDS: aliens; church; funding; governmentfraud; humantrafficking; invasion; ngos; taxes; wastefraudabuse
Navigation: use the links below to view more comments.
first 1-20, 21-40, 41-60, 61-80 ... 101-113 next last
To: Red Badger
I woke up pissed off. This only confirms my noble tendencies and instincts.
2
posted on
02/06/2025 1:13:44 PM PST
by
BipolarBob
(FBI Agent "I spied, lied and stole for the Bureau but by gawd I never lost my integrity".)
To: Red Badger
I have no idea what I am looking at.
3
posted on
02/06/2025 1:15:24 PM PST
by
Puppage
(You may disagree with what I have to say, but I shall defend to your death my right to says it.)
To: Red Badger
So we are paying taxes to Lutheran ahos who don’t pay taxes? It’s time for churches to start paying their “fair share”.
4
posted on
02/06/2025 1:15:31 PM PST
by
FlingWingFlyer
(Don't forget to celebrate "A Day Without Guac and Panther Pee" today! )
To: Red Badger
WOW!
I’ll see your spreadsheet and Raise you a LAW
8 USC 1324
Call Homan to see if he wants to call...
5
posted on
02/06/2025 1:16:11 PM PST
by
eyeamok
To: Puppage
This is money that OUR GOVERNEMT has give to a Religious NGO that supposedly cares for immigrants.........
6
posted on
02/06/2025 1:16:36 PM PST
by
Red Badger
(Homeless veterans camp in the streets while illegals are put up in 5 Star hotels....................)
To: Red Badger
You have to admit these globalist Nazi's keep meticulous records.
7
posted on
02/06/2025 1:16:37 PM PST
by
central_va
(I won't be reconstructed and I do not give a damn...)
To: FlingWingFlyer
Especially if they spew lefty talking points from the pulpit!
8
posted on
02/06/2025 1:16:41 PM PST
by
No name given
( Anonymous is who you’ll know me as)
To: Red Badger
9
posted on
02/06/2025 1:17:03 PM PST
by
The Louiswu
(You get what you vote for, good and hard.)
To: Puppage
Funneling money to NGO’s for illegal alien support services.
10
posted on
02/06/2025 1:17:56 PM PST
by
central_va
(I won't be reconstructed and I do not give a damn...)
To: The Louiswu
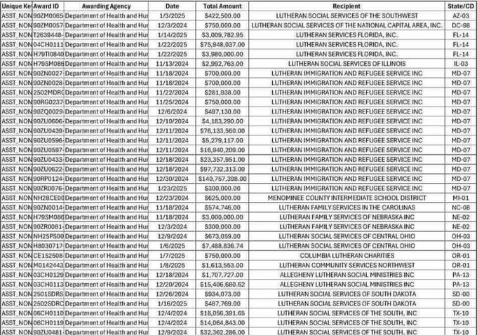
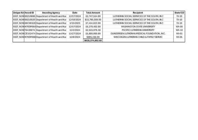
628 of them!...................
11
posted on
02/06/2025 1:17:58 PM PST
by
Red Badger
(Homeless veterans camp in the streets while illegals are put up in 5 Star hotels....................)
To: Red Badger
12
posted on
02/06/2025 1:18:52 PM PST
by
Jim W N
(MAGA by restoring the Gospel of the Grace of Christ (Jude 3) and our Free Constitutional Republic!)
To: Red Badger
Where this should make you angry is that the DS has no problem paying liberal churches for abortions or illegal aliens but cries “foul” over taxes going to religious schools.
So liberal stuff = OK, but conservative stuff + Not OK
A clear double standard.
13
posted on
02/06/2025 1:18:59 PM PST
by
Fai Mao
( The US government is run by pedophiles and Perverts for pedophiles and perverts.)
To: Red Badger
I can’t see on my phone
What is this?
14
posted on
02/06/2025 1:18:59 PM PST
by
RWGinger
(FJB)
To: Red Badger
To: The Louiswu
Total amount :
$ 628,374,602.65
To: RWGinger
A spreadsheet screen pic of total $$$$ given to a religious NGO to support ‘immigrants’................grand total $628 MILLION..........
17
posted on
02/06/2025 1:20:08 PM PST
by
Red Badger
(Homeless veterans camp in the streets while illegals are put up in 5 Star hotels....................)
To: Jim W N
Non-governmental organization
18
posted on
02/06/2025 1:20:12 PM PST
by
Tareli
(Keep calm and dance on.)
To: Red Badger
19
posted on
02/06/2025 1:20:19 PM PST
by
central_va
(I won't be reconstructed and I do not give a damn...)
To: Jim W N
NON-GOVERMENTAL ORGANIZATION...............
20
posted on
02/06/2025 1:20:37 PM PST
by
Red Badger
(Homeless veterans camp in the streets while illegals are put up in 5 Star hotels....................)
Navigation: use the links below to view more comments.
first 1-20, 21-40, 41-60, 61-80 ... 101-113 next last
Disclaimer:
Opinions posted on Free Republic are those of the individual
posters and do not necessarily represent the opinion of Free Republic or its
management. All materials posted herein are protected by copyright law and the
exemption for fair use of copyrighted works.
FreeRepublic.com is powered by software copyright 2000-2008 John Robinson