Free Republic
Browse · Search
Bloggers & Personal
Topics · Post Article

Skip to comments.

Federally funded researchers bury results on COVID vaccine effect on liver, kidney risks in youth
Just The News ^ | October 06, 2025 | Greg Piper

Posted on 10/07/2025 7:59:47 AM PDT by Red Badger

NIH-funded study of "long COVID" and reinfection hides findings on risks stratified by vaccination status deep in a supplement, contradicting researchers' conclusions and media narrative that vaccines are the answer.

===================================================================

The Trump administration's Centers for Disease Control and Prevention put the nail in the coffin of one-size-fits-all COVID-19 vaccine recommendations Monday, updating its children and adult vaccination schedules to encourage physicians, nurses and pharmacists to discuss harms and benefits from vaccination specific to each patient before they get jabbed.

Parents may get an incomplete picture from healthcare providers who don't look too closely at federally funded research that promotes indiscriminate COVID jabs for kids, though.

A research consortium buried a startling finding in its peer-reviewed study on biologically elusive "long COVID" and reinfection in patients under 21, published in a prestigious U.K. journal: Vaccinated kids who are reinfected have a higher risk of several long-term problems than unvaccinated kids, though it's the opposite for some other conditions.

It's far from the first time researchers have buried findings that are inconvenient to the COVID establishment narrative.

In a 2024 study in an American Heart Association journal, on the risk of long-term heart damage from COVID infection, Cleveland Clinic researchers used supplementary materials to disclose their finding that the risk of "Major Adverse Cardiac Events" among those who weren't hospitalized did not differ meaningfully from non-infected controls.

"Informed consent is back," acting CDC director and deputy secretary of Health and Human Services Jim O'Neill said Monday, on applying "individual-based decision-making" to the COVID vaccine schedule in line with its Advisory Committee on Immunization Practices' recent recommendations.

The agency's "blanket recommendation for perpetual" COVID boosters in 2022 "deterred health care providers from talking about the risks and benefits of vaccination for the individual patient or parent," he said, emphasizing booster uptake has plunged to 23% of adults from 85% for the original COVID vaccines from President Trump's Operation Warp Speed.

The change "means that the clinical decision to vaccinate should be based on patient characteristics that, unlike age, are difficult to incorporate in recommendations, including risk factors for the underlying disease as well as the characteristics of the vaccine itself and the best available evidence of who may benefit from vaccination," the CDC said.

Revealed 39 pages into a 54-page supplement

Whether SARS-CoV-2 is solely or even primarily responsible for symptoms deemed long COVID remains disputed in the scientific literature, with Yale research suggesting vaccination itself is responsible in some cases and an international research team correlating the symptoms in young people with lack of exercise and "loneliness."

Published Sept. 30 in The Lancet Infectious Diseases, the long COVID and reinfection paper uncritically accepts COVID as the cause of "post-acute sequelae of SARS-CoV-2 infection," analyzing more than 400,000 patients across 40 pediatric hospitals as part of the National Institutes of Health-funded RECOVER initiative.

On behalf of the RECOVER Consortium, the two dozen authors studied how the vaccine-busting Omicron variant, which hypercharged the breakthrough infections first publicly acknowledged by the CDC in summer 2021, affected PASC risks.

They vaguely define PASC as "new or ongoing health problems persisting at least 4 weeks after infection," which span "a wide range of symptoms and syndromes affecting multiple organ systems" but present as "more heterogeneous and non-specific symptoms" in children, such as fatigue, mood changes, dizziness and abdominal pain.

"Children and adolescents face a significantly higher risk of various PASC outcomes after reinfection with SARS-CoV-2," the authors conclude in the paper.

They waited until 39 pages into a 54-page supplement, separate from the paper, to disclose the higher risk for vaccinated patients under 21 who are reinfected, for conditions such as "acute kidney injury," abdominal pain, "abnormal liver enzyme" and even long COVID itself.

Those are listed in a table, "Number of events and incidence rate per million persons per 6 months of patients in first and second infection episodes," stratified by vaccination status. (About three-quarters of the study population was unvaccinated, given that children were authorized well after adults.)

The incidence rate for PASC among the vaccinated was 1,145 and 2,901 for first and second infection, respectively, and among the unvaccinated, 764 and 1,690. For acute kidney injury, 795 and 1,429 versus 497 and 1,121; abnormal liver enzyme, 1,858 and 2,748 versus 879 and 1,282; and abdominal pain, 22,492 and 31,065 versus 15,670 and 21,135.

Other divergences by vaccination status were close calls, such as "cardiovascular signs and symptoms": 5,624 and 6,163 for vaccinated versus 5,085 and 5,627 for unvaccinated. Arrhythmia was more common on the first infection for the vaccinated than for the unvaccinated, but the opposite on the second infection, for example.

Calculates incidence rate for myocarditis only in unvaccinated

The New York Times didn't mention the calculated differences by vaccination status in its coverage of the study, and neither did the University of Pennsylvania's medical school, several of whose researchers participated in the analysis.

The study authors, Penn Medicine and "medical experts" invoked by the Times, all said the results – that children and adolescents "face a significantly higher risk" of long COVID after reinfection – support indiscriminate vaccination against COVID.

They "highlight the need to promote vaccination in younger populations and support ongoing research to better understand PASC, identify high-risk subgroups, and improve prevention and care strategies," the study concludes.

"More vaccines should lead to fewer infections, which should lead to less long COVID," co-author Ravi Jhaveri, head of Pediatric Infectious Diseases at Lurie Children's Hospital of Chicago, told Penn Medicine. (The CDC had documented breakthrough infections a month after emergency use authorization for the first COVID vaccines.)

Alexandra Yonts, director of the Pediatric Post Covid Program Clinic at Children’s National Hospital, emphasized to the Times, in its paraphrase, "the most severe symptoms, like myocarditis, mostly occurred in young people who had not been vaccinated."

The table shows fewer than six incidents of myocarditis, a type of heart inflammation, among vaccinated patients, so the researchers didn't try to calculate an incidence rate per million. The absolute number of myocarditis incidents for first and second infections among unvaccinated was nine and seven, respectively, for an estimated rate of roughly 50 and 129.

Former Times drug industry reporter Alex Berenson flagged the buried results in his newsletter Friday, emphasizing the "association does not prove the Covid shots caused post-infection kidney injury or other problems" because the vaccinated and unvaccinated kids may have been otherwise different in ways not described by the authors.

"But it adds to years of evidence that mRNA Covid shots are useless, if not dangerous, for kids," Berenson said, emphasizing the kidney and liver findings. (Non-mRNA vaccines weren't authorized for kids during the study period, January 2022 to October 2023.)

"Overall, jabbed kids were about 10 percent more likely to be diagnosed with a wide range of conditions, including less serious ones, after Covid infection or reinfection," Berenson said.

It's telling that the authors "parsed their data in countless ways" yet omitted "any direct analysis of vaccinated and unvaccinated kids," he said. The establishment spin shows "the scientific establishment simply will NOT follow up on signals of potential mRNA risk."

The study's corresponding author, Penn Computing, Inference and Learning lab director Yong Chen, didn't respond to Just the News queries on why the RECOVER Consortium authors appeared to bury the distinctions by vaccination status deep in the supplement, what affect that might have on future NIH funding, and what role if any The Lancet played.

The Trump administration this spring accelerated a planned policy change to immediately make public NIH-funded research results, though it doesn't specify whether or how researchers could be penalized for withholding or obscuring results at odds with their conclusions.

The U.K.-based Lancet didn't answer queries on whether the publisher or peer reviewers required the burial, and neither did Times reporter Pam Belluci, whose beat includes long COVID, when asked whether she reviewed the supplement for her story, which claimed unnamed studies show "vaccines significantly reduce long Covid risk."


TOPICS: Conspiracy; Government; Health/Medicine; Military/Veterans
KEYWORDS:
It's called 'Burying the lede'.............
1 posted on 10/07/2025 7:59:47 AM PDT by Red Badger
[ Post Reply | Private Reply | View Replies]

To: Red Badger

.


2 posted on 10/07/2025 8:05:48 AM PDT by sauropod
[ Post Reply | Private Reply | To 1 | View Replies]

To: ransomnote; ExTexasRedhead; Swordmaker

Ping!....................


3 posted on 10/07/2025 8:07:28 AM PDT by Red Badger (Homeless veterans camp in the streets while illegals are put up in 5 Star hotels....................)
[ Post Reply | Private Reply | To 1 | View Replies]

To: Red Badger

It’s called ‘Burying the lede’.............
________________________
We’re your government and we’re here to ‘help’ you.


4 posted on 10/07/2025 8:18:43 AM PDT by iontheball
[ Post Reply | Private Reply | To 1 | View Replies]

To: Red Badger

When someone funds something, they expect to control the results. You cannot take funding from someone, anyone, and expect to be free and clear to do whatever you want. This is true of highway funds, school funds and health care reimbursement. I don’t know the answer because everything is too expensive for individuals, or state road maintainers, or local school boards to do whatever job they’re required to do. Once you take someone else’s money, you are that entities’ female dog.


5 posted on 10/07/2025 8:24:06 AM PDT by Gen.Blather (Has anyone seen my tagline? ...I know it was here...)
[ Post Reply | Private Reply | To 1 | View Replies]

To: Red Badger
And people want gov't to be in charge of their healthcare????

Are they crazy???

NUKE UNCONSTITUTIONAL GOV'T HEALTHCARE!!!!

6 posted on 10/07/2025 8:24:24 AM PDT by Jim W N (MAGA by restoring the Gospel of the Grace of Christ (Jude 3) and our Free Constitutional Republic!)
[ Post Reply | Private Reply | To 1 | View Replies]

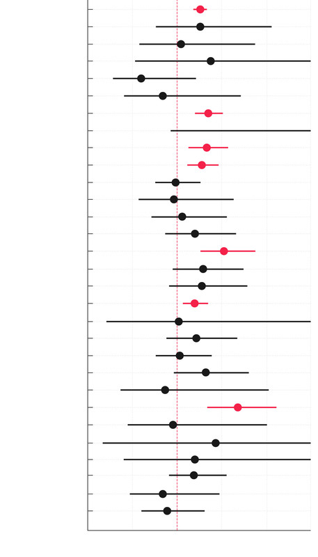
To: Red Badger
"Researchers said they found evidence of an association between the jabs and a heightened risk of six types of cancer including lung, breast and prostate."

250930-Types-Cancer-Covid-large

Sorry the left side list of cancerss on the graph didn't copy, here it is:

Types of cancer:

Overall cancers

Brain

Oral

Salivary

Oropharynx

Larynx

Thyroid

Esophagus

Gastric

Colorectal

Liver

Gallbladder

Bile duct

Pancreatic

Lung

Kidney

Bladder

Breast

Vulvar

Cervical

Uterine

Ovarian

Testicular

Prostate

Melanoma

Kaposi’s sarcoma

Hodgkin Lymphoma

Non-Hodgkin

Lymphoma

Myeloma

Leukemia

https://www.dailymail.co.uk/health/article-15145025/Experts-contentious-study-Covid-vaccine-risk-SIX-cancers.html

There's also a poll on the article, and I urge everyone here to vote (no need to register, etc.):

Poll:

"Do YOU think Covid vaccines saved more lives than they harmed?"

Yes: 30%

No: 70%

7 posted on 10/07/2025 8:27:02 AM PDT by Bon of Babble (You Say You Want a Revolution?)
[ Post Reply | Private Reply | To 1 | View Replies]

To: Gen.Blather

Neither a borrower nor a lender be...................


8 posted on 10/07/2025 8:30:49 AM PDT by Red Badger (Homeless veterans camp in the streets while illegals are put up in 5 Star hotels....................)
[ Post Reply | Private Reply | To 5 | View Replies]

To: Gen.Blather

Government abuses and distorts with all its power at all times.


9 posted on 10/07/2025 8:44:54 AM PDT by If You Want It Fixed - Fix It
[ Post Reply | Private Reply | To 5 | View Replies]

To: Red Badger

I was admitted to 2 different hospitals last week, both insisted on doing a Covid test. Makes me think the government is continuing to push the Covid hoax thru hospital incentives.


10 posted on 10/07/2025 12:00:57 PM PDT by where's_the_Outrage? (Drain the Swamp. Build the Wall)
[ Post Reply | Private Reply | To 1 | View Replies]

Disclaimer: Opinions posted on Free Republic are those of the individual posters and do not necessarily represent the opinion of Free Republic or its management. All materials posted herein are protected by copyright law and the exemption for fair use of copyrighted works.

Free Republic
Browse · Search
Bloggers & Personal
Topics · Post Article

FreeRepublic, LLC, PO BOX 9771, FRESNO, CA 93794
FreeRepublic.com is powered by software copyright 2000-2008 John Robinson